15. 2 Voltage Summing
1. Tujuan [kembali]
- Dapat memahami subchapter 15.2
- Mampu membuat simulasi rangkaian op-amp
- Dapat menjelaskan prinsip kerja rangkaian
2. Alat dan Bahan [kembali]
Alat
1. Ground
Ground berfungsi sebagai penghantar arus listrik langsung ke bumi atau tanah saat terjadi kebocoran isolasi atau percikan api pada konsleting.
2. Baterai
Battery merupakan suatu komponen elektronika yang digunakan sebagai sumber tegangan pada rangkaian
3. Voltmeter DC
Difungsikan guna mengukur besarnya tegangan listrik yang terdapat dalam suatu rangkaian listrik. Dimana, untuk penyusunannya dilakukan secara paralel sesuai pada lokasi komponen yang sedang diukur.
Bahan
1. Op-amp
Operasional Amplifier atau lebih dikenal dengan Op Amp adalah suatu komponen elektronika analog yang berfungsi sebagai penguat atau amplifier multiguna.Penguat ini memiliki dua input yaitu inverting dan non-inverting, serta sebuah terminal output.
2. Resistor
Resistor merupakan salah satu komponen elektronika pasif yang berfungsi membatasi arus yang mengalir pada suatu rangkaian dan berfungsi sebagai terminal antara dua komponen elektronika. Tegangan pada suatu resistor sebanding dengan arus yang melewatinya.
Cara menghitung nilai resistansi resistor dengan gelang warna:
1. Masukkan angka langsung dari kode warna gelang pertama
2. Masukkan angka langsung dari kode warna gelang kedua
3. Masukkan angka langsung dari kode warna gelang ketiga
4. Masukkan jumlah nol dari kode warna gelang ke-4 atau pangkatkan angka tersebut dengan 10(10^n) .
3. Dasar Teori [kembali]
Penguat Operational (Operational Amplifier) atau yang biasa disebut op-amp, merupakan penguat elektronika yang banyak digunakan untuk membuat rangkaian detektor, komparator, penguat audio, video, pembangkit sinyal, multivibrator, filter, ADC,DAC, rangkaian penggerak, dan berbagai macam rangkaian analog lainnya.Penggunaan op-amp lainnya adalah sebagai penguat penjumlah. Gambar 15.8 menunjukkan hubungan dengan keluaran yang merupakan penjumlahan dari ketiga masukan, masing-masing dikalikan dengan penguatan yang berbeda. Tegangan keluarannya adalah :
Dua sinyal dapat dikurangi, satu dari yang lain, dengan berbagai cara. Gambar 15.10 menunjukkan dua tahap op-amp yang digunakan untuk memberikan pengurangan sinyal input. Output yang dihasilkan diberikan oleh:
Koneksi lain untuk memberikan pengurangan dua sinyal ditunjukkan pada Gambar 15.11. Koneksi ini hanya menggunakan satu tingkat op-amp untuk memberikan pengurangan dua sinyal input. Dengan menggunakan superposisi, output dapat ditampilkan menjadi :
4. Langkah Percobaan [kembali]
1. Siapkan komponen yang dibutuhkan
2. Susun komponen sesuai rangkaian yang akan di buat
3. Rangkai komponen dengan tepat dan benar
5. Gambar Rangkaian [kembali]
6. Prinsip Kerja [kembali]
Op-amp pada umumnya tersedia dalam bentuk rangkaian terpadu yang memiliki karakteristik mendekati karakteristik penguat operasional ideal tanpa perlu memperhatikan apa yang terdapat di dalamnya. Ada tiga karakteristik utama op-amp ideal, yaitu:
7. Vidio [kembali]
Vidio 15.8
Vidio 15.10
Vidio 15.11
8. Example [kembali]
1. Hitung tegangan keluaran untuk rangkaian Gambar 15.9. Inputnya adalah V1 = 50 mVsin (1000t) dan V2 =10 mV sin (3000t).
Solusi :
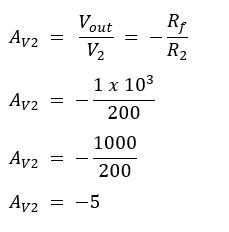
2. Tentukan tegangan keluaran untuk rangkaian Gambar 15.12.
Solusi :
9. Probleme [kembali]
1.
2. Penguat adder dengan tiga sinyal masukan memiliki nilai R1 = 100 Ω, R2 = 200 Ω, R3 = 400 Ω dan Rf = 1 kΩ. Tentukan berapa nilai tegangan keluar dan penguatan dari penguat adder tersebut jika diketahui nilai tegangan masukan V1 = 2 V, V2 = 3 V, dan V3 = 4 V!
Jawaban :
Karena nilai R1, R2, dan R3 tidak sama, maka untuk menghitung nilai tegangan keluaran dari penguat adder dapat dilakukan menggunakan persamaan (8):
10. Pilihan Ganda [kembali]
1. Bagaimana karakteristik utama suatu op-amp dikatakan ideal?
a. Gain sangat besar (AOL >> ). Penguat open loop adalah sangat besar karena feedback-nya tidak ada atau RF = tak terhingga.
b. Impedansi input sangat besar ( ZI>>), sehingga arus input ke rangkaian dalam op -amp sangat kecil sehingga tegangan input sepenuhnya dapat dikuatkan.
c. Impedansi input sangat kecil (ZO<<), sehingga tegangan output stabil karena tahanan beban lebih besar yang diparalelkan dengan ZO<<.
d. Gain sangat kecil (AOL << ). Penguat open loop sangat kecil karena adanya feedback.
Jawaban : A,B, dan C
2. Terminal apa saja yang terdapat pada op-amp?
a. Masukan pembalik (Inverting),
b. Masukan non pembalik ( Non- Inverting ),
c. Emmitor,
d. Catu daya (+ dan -), Keluaran vout
Jawaban : A,B, dan D
11. Link Download [kembali]
Link Download HTML <disini>
Link Download Rangkaian <disini>
Link Download vidio 15.8 <disini>
Link Download vidio 15.10 <disini>
Link Download vidio 15.11 <disini>
Link Download Data sheet resistor <disini>
Link Download Data Sheet op-amp <disini>






Tidak ada komentar:
Posting Komentar